

En esta noticia
La Asociación Bancaria, que comanda Sergio Palazzo, firmó con las cámaras empresarias un incremento salarial del 4,2% retroactivo a agosto, acumulando así una suba del 94,8% en los primeros ocho meses del año.
Con este nuevo ajuste, el salario inicial de los trabajadores del sector, teniendo en cuenta la participación de Ganancias, ascenderá en septiembre a $1.455.388,65.
El porcentaje de aumento es el equivalente a la inflación de agosto, sobre los sueldos de julio, para todas las remuneraciones mensuales brutas, normales, habituales y totales, remunerativas y no remunerativas. Esto también incluye los adicionales convencionales y no convencionales.
Dado que el 4,2 % de aumento otorgado es retroactivo a julio (salarios liquidados a inicios de agosto), los bancos deberán pagar a sus empleados junto con los salarios de septiembre un extra por el "atraso" en las negociaciones paritarias.
Este deberá calcularse como "la diferencia que surja entre la inflación acumulada entre los meses de enero a agosto 2024 inclusive (94,8 %), tomando como referencia los salarios de diciembre 2023, y los incrementos ya otorgados en el 2024".
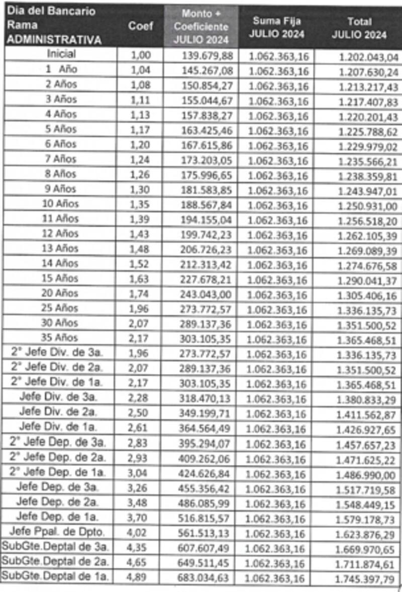
La recomposición también impactará en el bono por el Día del Bancario, que quedó fijado con un monto mínimo de $ 1.252.181,74a corregir por inflación hasta el 6 de noviembre.
Paritaria Bancarios: con aumento, cuánto cobro en octubre y cómo quedan todas las escalas
Escalas Bancarios octubre

Bono Día del Bancario

Adicionales Bancarios octubre
















