

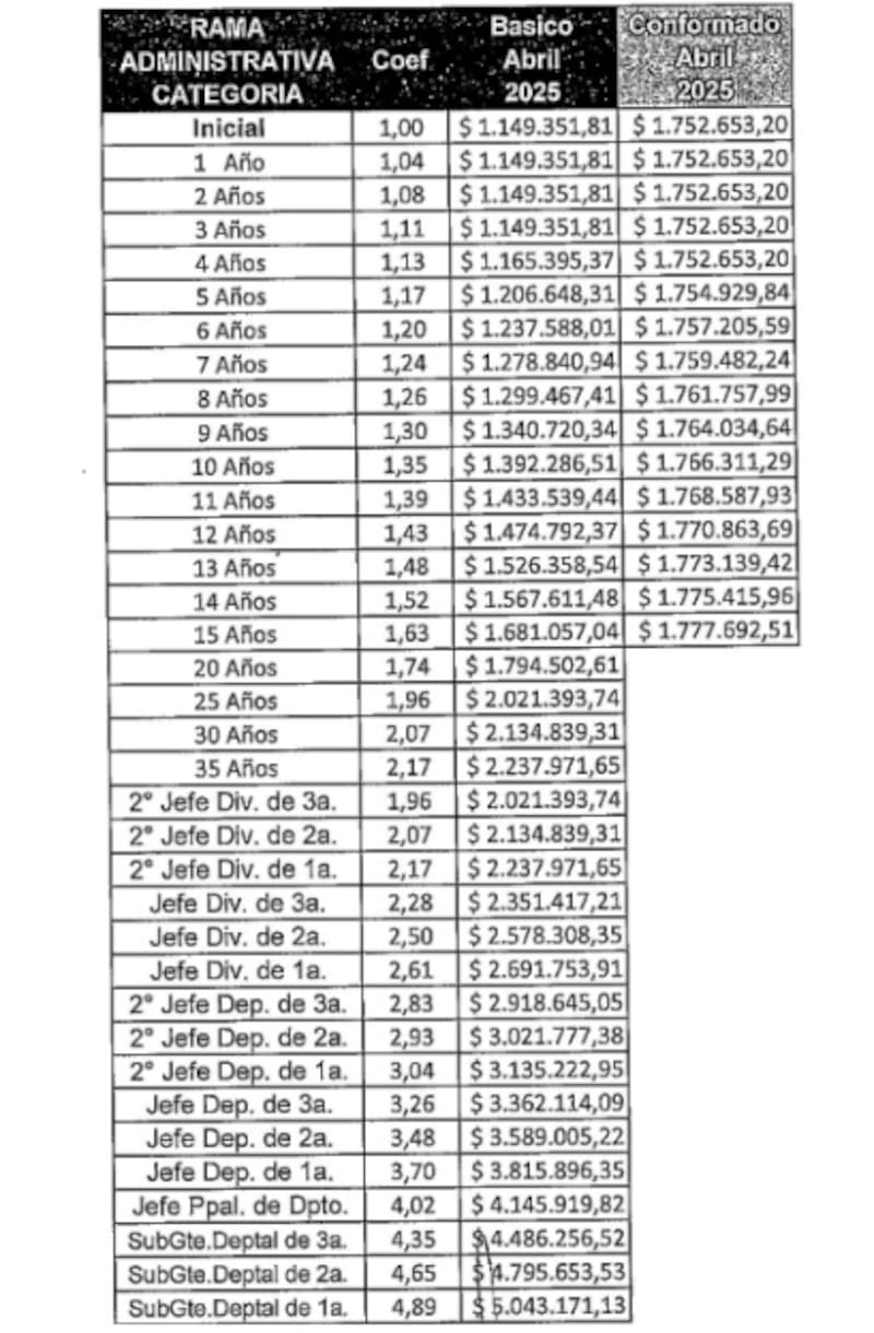
A través del mismo mecanismo de actualización que utilizaron en los últimos meses, los bancarios cerraron nuevo aumento salarial para todos los empleados del sector, en línea con el último dato de inflación.
De esta manera, el salario básico se fijará en $ 1.831.812,66 (inicial + participación de Ganancias), y el bono por el Día del Bancario quedará en 1.562.429,69, a corregir por futuras actualizaciones.
En los primeros cuatro meses del año la recomposición firmada por La Bancaria alcanza el 11,6% sobre los salarios de diciembre 2024, muy por encima del techo paritario que el Gobierno busca imponer en otras actividades.
Dicha actualización será de aplicación para todas las remuneraciones mensuales brutas, normales, habituales y totales, remunerativas y no remunerativas, incluyendo los adicionales convencionales y no convencionales, señalaron desde el sindicato que encabeza Sergio Palazzo.
El retroactivo, en tanto, se abonará junto con los salarios del mes de mayo.

"De esta manera, una vez más, desde la Asociación Bancaria garantizamos que los trabajadores/as bancarios/as continúen salvaguardando el poder adquisitivo de los salarios", destacó el espacio sindical.
Bancarios: con nuevo aumento, cuánto cobro en junio y cómo quedan todas las escalas

Adicionales bancarios














