

En esta noticia
La Bancaria cerró un nuevo acuerdo paritario con las cámaras empresarias para el mes de junio con el cual los empleados agrupados en este gremio cobrarán un 4% más a partir del próximo recibo para recomponer las pérdidas de poder adquisitivo frente a la inflación.
"Un aumento salarial que será equivalente a la inflación del mes de julio, sobre los sueldos de junio, para todas las remuneraciones mensuales brutas, normales, habituales y totales, remunerativas y no remunerativas, incluyendo los adicionales convencionales y no convencionales", detallaron en un comunicado desde La Bancaria.
Además, puntualizaron cómo serán los retroactivos que recibirán los empleados bancarios sobre el total de la paritaria del año 2024 por la recomposición que se negoció sobre los aumentos de precios.

"Se deberá abonar la diferencia que surja entre la inflación acumulada entre los meses de enero a julio 2024 inclusive (87%), tomando como referencia los salarios de diciembre 2023, y los incrementos ya otorgados en el 2024 (79,8%). El monto resultante deberá ser abonado junto con los salarios del mes de agosto", puntualizaron.
De esta manera, los bancarios recibirán en el próximo cobro los retroactivos de las diferencias por inflación además del acuerdo del 4% que se toma desde junio.
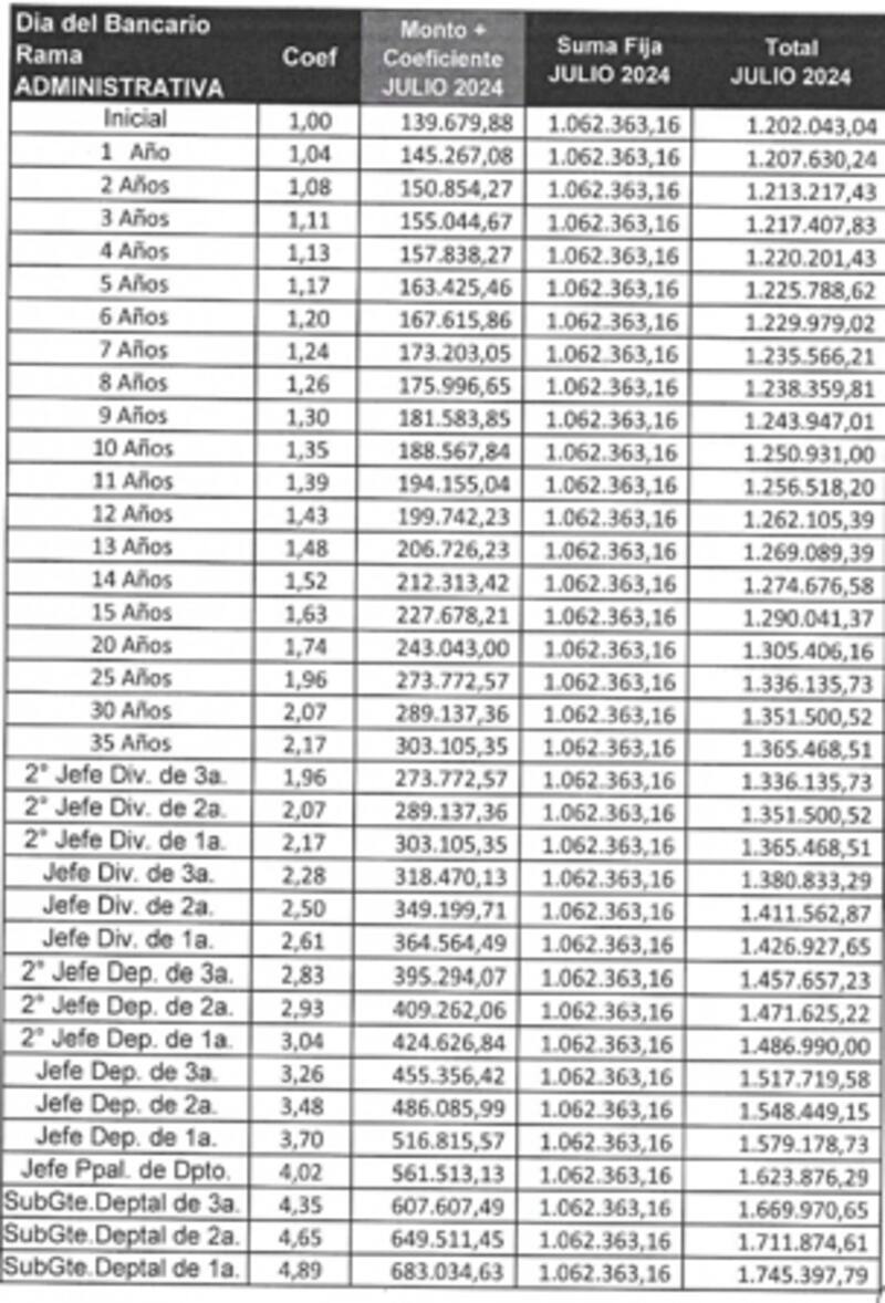
Bancarios: cómo quedarán las escalas con aumento
"Desde la Asociación Bancaria garantizamos la aplicación de los índices inflacionarios mensuales para que los trabajadores/as bancarios/as no pierdan contra la inflación, salvaguardando el poder adquisitivo de nuestros representados/as", detallaron en el comunicado desde el gremio.
Los sueldos pasarán desde el inicial sin antigüedad de $ 1.348.390 en mano hasta los casi $ 4 millones que gana un Gerente Departamental de 1ra, el rango más alto que se incluye en las escalas que negocia el sindicato que conduce Sergio Palazzo.

Además, junto con las escalas salariales, también se confirmó en cuánto está el día del bancario a agosto con los últimos aumentos que se produjeron. El monto que cobrará un trabajador que recién ingresa es de $ 1.202.043,04.

Por último, en la negociación, ambas partes definieron cómo quedarán los distintos adicionales que cobran los bancarios por funciones, los distintos plus por títulos y por las zonas en las que prestan los servicios.















