

Los inversores podrán empezar a operar nuevos Cedearrespaldados por nueve ETF, que incluyen diferentes tipos de activos o replican índices de distintos sectores y regiones, a partir de mañana, a través de Bolsas y Mercados Argentinos (BYMA).
Con la resolución N° 21577, la Comisión Nacional de Valores (CNV) autorizó hace un par de semanas la emisión de Cedear respaldados en nueve ETF. Es decir que a partir de mañana, el inversor local podrá operar con índices accionarios americanos o de otros países como Brasil, así como sectoriales de Estados Unidos.

Cuándo se podrá comenzar a invertir
Los nuevos Cedear recién podrán comenzar a operarse a partir de mañana. La emisora de estos instrumentos para el Mercado de Capitales argentino es Caja de Valores, sociedad perteneciente al Grupo BYMA y única entidad depositaria central de Argentina autorizada por la Comisión Nacional de Valores (CNV) para recibir valores negociables en depósito colectivo.
"Se trata de un hecho inédito en el país, ya que hasta ahora los Cedear de ETF no estaban disponibles localmente", destacó BYMA en un comunicado.
"Nos llena de orgullo haber liderado este hito para el Mercado de Capitales de nuestro país y seguir sumando alternativas de inversión para toda la sociedad", explicó el Presidente de BYMA, Ernesto Allaria.
De acuerdo a lo informado, habrá nuevas incorporaciones de este tipo en el corto plazo.
En una entrevista exclusiva con El Cronista, en este sentido Gonzalo Pascual Merlo, gerente de mercados de ByMA amplió: "Nuestra expectativa es poder agregar más opciones. Estamos en una primera etapa en la que queremos focalizarnos en lo que tenemos y consolidar el trabajo que se viene haciendo en Cedear para que esto sea un paso más, y consolidar bien la negociación de estos nueve nuevos Cedear".
"Una vez que hayamos logrado un buen volumen incremental y una vez cumplido ese objetivo, será un punto de partida para traer más productos al mercado local. En ese caso, deberemos volver a hablar y trabajar con CNV para seguir construyendo en lo que venimos trabajando", agregó.
ETF desde Argentina
A partir de mañana, el inversor local podrá operar índices accionarios americanos, así como sectoriales de EE.UU. Se agrega también la posibilidad de invertir en ETF de Brasil y emergentes.
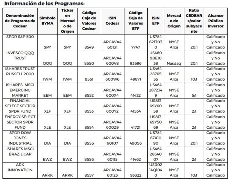
En total son 9 los índices que el inversor local podrá comprar desde la bolsa argentina y en pesos.
Concretamente, son el ETF del S&P 500 (SPY), del Nasdaq 100 (QQQ), del Dow Jones y del Russell 2000 (IWM). También habrá sectoriales como el sector financiero (XLF) el energético (XLE), y ARK Innovation (ARKK). Dentro del listado también se incluyen al ETF de Brasil (EWZ) y el de emergentes (EEM).
Nuevos cedear, uno por uno
A partir de mañana habrá nueve nuevos Cedear como opciones para el inversor local que quiere hacer rendir sus pesos.
- SPDR S&P 500 (SPY): replica el índice y se compone de una cartera que representa las 500 acciones del S&P 500
Posee mayormente acciones de capitalización grande de EE.UU.
- Invesco QQQ Trust (QQQ): replica el índice Nasdaq 100 e incluye 100 de las empresas no financieras más grandes por capitalización de mercado cotizadas en Nasdaq.
- IShares Trust Russell 2000 (IWM): replica el índice Russell 2000 Index Fund. Mantiene acciones de capitalización pequeña de EE.UU.
- IShares MSCI Emerging Market (EEM): Replica el desempeño del MSCI TR Emerging Markets Index y mantiene acciones de capitalización grande y mediana de mercados emergentes.
- Financial Select Sector SPDR Fund (XLF): representa el desempeño del The Financial Select Sector Index. Incluye empresas de servicios financieros cuyos negocios abarcan desde la gestión de inversiones a la banca comercial y de negocios.
- Energy Select Sector SPDR Fund (XLE): representa el desempeño del The Energy Select Sector Index. Incluye acciones de capitalización grande de energía en EE. UU e invierte en empresas que desarrollan y producen petróleo crudo y gas natural, ofrecen perforación y otros servicios relacionados.
- SPDR Dow Jones Industrial (DIA): replica el índice Dow Jones Industrial Average. Mantiene 30 acciones de capitalización grande de EE.UU. que representan el índice.
- IShares MSCI Brazil Cap (EWZ): busca que sus resultados de inversión se correspondan con la rentabilidad del índice MSCI Brazil 25/50. Invierte en empresas de capitalización mediana y grande en Brasil que representan el 85% del mercado bursátil brasileño.
- ARK Innovation (ARKK): El ETF ARKK es de gestión activa y busca el crecimiento del capital a largo plazo invirtiendo en valores de renta variable nacionales y extranjeros de empresas que son relevantes para el tema de inversión del Fondo de innovación disruptiva















