

El sindicato de empleados de Comercio y las cámaras empresarias de la actividad finalmente cerraron hoy el acuerdo paritario de la actividad con un incremento promedio de 30%, que se instrumentará en forma escalonada y mediante esquemas de sumas fijas y aumentos porcentuales.
El entendimiento, que beneficiará a cerca de 1,2 millón de trabajadores, establece el pago de una asignación extraordinaria de carácter no remunerativo ni acumulativo, que se abonará en cinco cuotas con los sueldos de mayo, junio, julio y agosto, y, el último tramo, en marzo de 2020. En tanto, a partir de septiembre se implementarán las subas porcentuales en forma bimestral y con el siguiente esquema: 4,5% ese mes, 4,5% en noviembre, 4,5% en enero y 4,5% marzo, tadas aplicadas sobre la escala salarial básica del sector de marzo pasado.

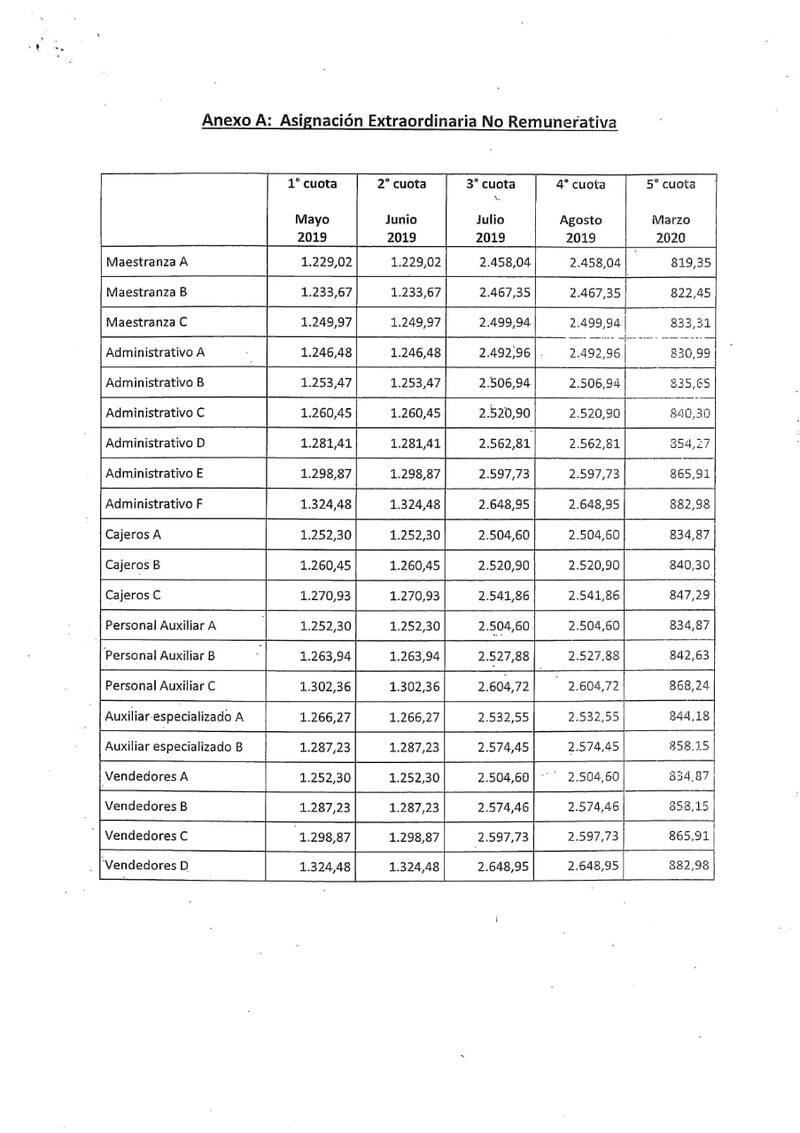
En cuanto a las sumas no remunerativas, el acuerdo fijó que para la categoría más baja del sector mercantil (maestranza A) se abonarán a razón de dos pagos de $ 1229,02 en mayo y junio, otros dos suplementos de $ 2458,04 cada uno durante julio y agosto, y un tramo de $ 819,35 en marzo del próximo año. Para la categoría más alta de la actividad (vendedor D) ese esquema será el siguiente: dos pagos de 1324,48 en mayo y junio, otras dos asignaciones de $ 2648,95 en julio y agosto y la cuota final de $ 882,98 en marzo del año entrante.
En términos concretos, el aumento total para los trabajadores mercantiles redondea una mejora de 30% y eleva el piso salarial en el sector a $ 35.000. Sin embargo, el convenio incorpora sumas de carácter no remunerativo, pese a que su utilización está prohibida por un decreto dictado por la gestión Cambiemos dos años atrás.
El acuerdo salarial mercantil fue firmado por las partes en un encuentro con el ministro de Producción y Trabajo, Dante Sica. De la reunión participaron el titular del sindicato de Empleados de Comercio, Armando Cavalieri, y las autoridades de la Cámara Argentina de la Construcción (CAC) , de CAME y de la Unión de Entidades Civiles Empresarias (UDECA),
El convenio paritario, que había sido anticipado por el propio Cavalieri un par de semanas atrás y cuya firma fue demorada hasta hoy, también incluyó un acuerdo para reducir en un punto porcentual la contribución patronal al seguro de retiro “La Estrella , que es complementario del sistema previsional, y obligatorio para los trabajadores de la actividad.
Según las cámaras empresarias, la disminución de la alícuota (que pasa de 3,5% a 2,5%), y que se hará efectiva con retroactividad al mes de enero de 2019, implica “una reducción permanente del costo laboral no salarial para el Comercio y los Servicios, que favorecerá el mantenimiento y la generación de puestos de trabajo, a la par que incrementará la competitividad de las empresas .














