

A través de una resolución publicada hoy en el Boletín Oficial, la AFIP oficializó el plan de pagos de hasta 120 cuotas para regularizar deudas impositivas, aduaneras y de la seguridad social, incluyendo atrasos, multas y cargos suplementarios.
La primera cuota que pagará el contribuyente será equivalente al 7% de la deuda más el interés proporcional. Para el resto de las cuotas, en tanto, se fija un monto mínimo de $ 150 para los pequeños contribuyentes y de $ 500 para el resto, lo que determinará en muchos casos la cantidad máxima de cuotas en las que se podrán cancelar las deudas con la AFIP.
El interés está fijado en el 1,9% mensual.
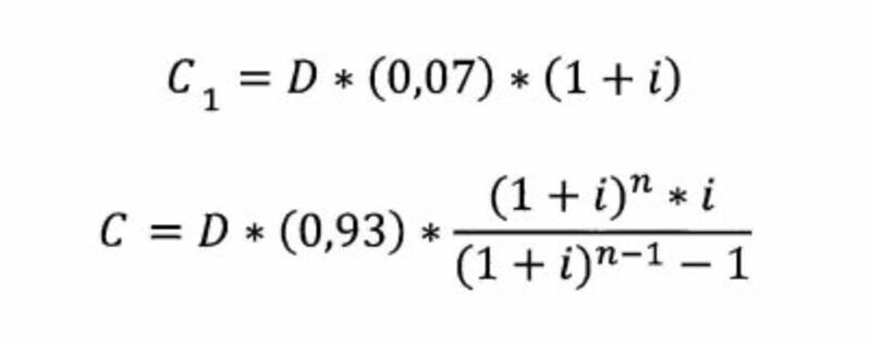
A partir de esos datos, la AFIP estableció las siguientes fórmulas para determinar el monto de las cuotas:

En donde:
D es la deuda total incluida en el plan
i es la tasa de interés mensual (1,9% ó 0,019)
n es la cantidad de cuotas del plan
C1 es el importe de la primera cuota (que vence el 16 del mes siguiente al de la consolidación del plan)
Y C es el importe del resto de las cuotas (que vencen los 16 de cada mes)
Así, por ejemplo, el valor de la primera cuota es equivalente al total de la deuda multiplicado por 0,07133 (lo que implica una cuota de $ 71,33 por cada mil pesos de deuda).














