

En la vida, a menudo buscamos guías externas que nos ayuden a navegar por los desafíos que enfrentamos. Sin embargo, el verdadero cambio y crecimiento vienen de nuestra capacidad de autoliderazgo.
Cualquier persona comprometida con mejorar su vida personal y profesional puede ser capaz de organizarse, planificar y establecer prioridades. También, tener un seguimiento con indicadores claros y puntos esenciales para alcanzar un mayor rendimiento y sostenerlo en el tiempo.
Pensando en su enfoque de productividad y desarrollo humano, el escritor, conferencista y entrenador Robin Sharma, autor de bestsellers como 'El monje que vendió su Ferrari' o 'El club de las 5 am' reconocido mundialmente, ha diseñado una herramienta que ha ofrecido en su página web, que permite tomar las riendas de tu tiempo y acciones: el Sistema de Diseño Semanal (Weekly Design System, en inglés).
Si bien existen muchas aplicaciones y dispositivos diseñados específicamente para tu productividad, aquí no se trata sólo de optimizar el tiempo, sino de darle propósito y dirección a la totalidad de tu vida. Es decir que no sólo se enfoca en las labores del trabajo, sino que incorporarás las distintas dimensiones vitales.

El paso a paso
Para que tengas una guía, aquí se describe paso a paso el sistema, para que puedas adoptarlo y trabajarlo diariamente si deseas mejorar. Puedes bajar la imagen y rellenarla cada día en tu computadora, si bien sugiero que la tengas contigo y trabajes a mano para lograr un mejor efecto de ejercitación con mayor enfoque. Puedes preparar un pequeño cuaderno con las semanas de un semestre, por ejemplo, para ya tenerlo dispuesto y no dispersarte en darle continuidad.
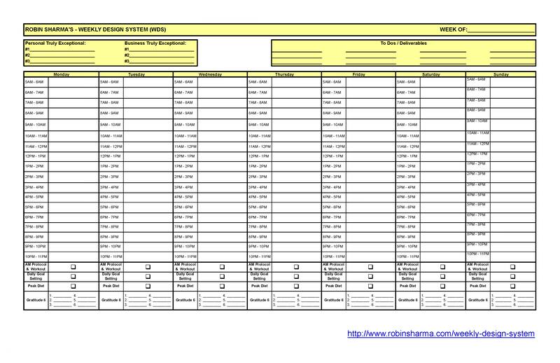
El encabezado permite que anotes la semana que estás trabajando. Sugiero que coloques tu firma arriba, para reafirmar tu compromiso y responsabilidad con las acciones diarias. Revisemos el documento:
1. Áreas Excepcionales:
Arriba, se encuentran dos consignas:
- Persona Verdaderamente Excepcional: Aquí puedes anotar tres objetivos o áreas en las que quieras destacar o enfocarte esta semana para convertirte en alguien excepcional. Se trata de dar tu milla extra en esos objetivos con total foco y eficiencia.
- Negocios Verdaderamente Excepcionales: De manera similar, anota hasta tres objetivos o áreas profesionales/laborales en las que quieras enfocarte para obtener resultados superadores.
2. Cosas por hacer / Entregables:
Al lado de las áreas excepcionales, escribe las tareas específicas y entregas que debes completar durante la semana. Es ideal para no olvidar compromisos o fechas límite. Recuerda siempre incluir tanto temas personales y profesionales verdaderamente relevantes, es decir, esos que marcarán la diferencia en tu vida.
3. Grilla Semanal:
El sistema te permite planificar o volcar lo que ya tienes previsto de actividades específicas para cada hora del día, desde las 5 de la mañana hasta las 11 de la noche, de lunes a domingo.
Es una grilla con un desglose diario, así que asegúrate de asignar tiempo para tus actividades diarias y proyectos a corto plazo. Recuerda que el Sistema de Diseño Semanal no reemplaza tu agenda en cualquier formato que utilices, sino que la complementa.
4. Protocolos
Debajo de la plantilla figura el Protocolo AM que Robin Sharma recomienda seguir. En toda su obra, siempre destaca la importancia de tener un ritual matutino.
Aquí tienes tres casillas para ir marcando, en este plan de mejora de tu vida en todas las áreas:
- Ejercicio: Indica si has hecho ejercicio en la mañana. Sugiero que agregues unos minutos de meditación o mindfulness diarios; puedes empezar con un minuto y aumentar al tiempo que consideres apropiado para ti.
- Establecimiento de Metas Diarias: Asegúrate de definir tus metas diarias.
- Dieta Óptima: Chequea si estás siguiendo una dieta que te mantenga con alta energía y enfoque.

5. Gratitud:
Debajo de cada día, hay un espacio para practicar la gratitud. Puedes anotar hasta seis situaciones, personas y cualquier aspecto por el que tienes agradecimiento. El ritual de gratitud es uno de los más valiosos en nuestro día, ya que este simple hecho nos trae a la consciencia los aspectos por los que necesitamos dar gracias, incluso aquellos desafiantes, si sabemos ver el aprendizaje detrás de ellos.
Tips finales para usar el Sistema de Diseño Semanal de Robin Sharma
Tal como observas, este Sistema que propone Robin es una dinámica diaria por adoptar, que requiere de tu compromiso personal para autoliderar todos los aspectos de tu vida.
Como cualquier proceso, necesitas hacerlo prioritario y darle relevancia en tu vida. La clave es mantenerte en acción, aunque no tengas ganas, ya que si no lo ejecutas diariamente, no vas a tener indicadores para evaluar el resultado, ni sabrás si estás avanzando en un sentido positivo.
Para lograrlo, aquí van cuatro sugerencias que te van a ayudar:
- Consistencia: La clave del éxito con este sistema es la consistencia y la disciplina. Utilízalo todos los días para planificar, ejecutar y reflexionar sobre tus actividades.
- Revisiones semanales: Al final de cada semana -que es de lunes a domingos-, tómate un momento para revisar tus logros y áreas de mejora. Vuelca los aspectos necesarios en la siguiente semana, sin caer en la procrastinación de tu parte.
- Ritual matutino: El inicio del día es crucial. Un buen ritual matutino puede establecer el tono para un día productivo y positivo.
- Gratitud: Practicar la gratitud va a mejorar tu perspectiva y bienestar emocional. No subestimes el poder de este pequeño ejercicio que toma tan sólo unos instantes y es la gran llave para que todo el sistema te funcione.














