

En esta noticia
La Bancaria llegó este martes a un nuevo acuerdo salarial atado a la inflación de julio, en el marco de las paritarias del sector.
"En el día de la fecha hemos acordado con las cámaras empresarias un aumento salarial que será equivalente a la inflación del mes de julio, sobre los sueldos de junio, para todas las remuneraciones mensuales brutas, normales, habituales y totales, remunerativas y no remunerativas, incluyendo los adicionales convencionales y no convencionales", informaron desde el gremio.
"Por lo tanto, se deberá abonar la diferencia que surja entre la inflación acumulada entre los meses de enero a julio 2024 inclusive (87%), tomando como referencia los salarios de diciembre 2023, y los incrementos ya otorgados en el 2024 (79.8%)", explicaron.
El monto resultante, precisaron, deberá ser abonado junto con los salarios del mes de agosto.

Desde el sindicato que encabeza Sergio Palazzo celebraron la firma del nuevo acuerdo, que también impacta en el bono por el Día del Bancario.
"De esta manera, una vez más, desde la Asociación Bancaria garantizamos la aplicación de los índices inflacionarios mensuales para que los trabajadores/as bancarios/as no pierdan contra la inflación, salvaguardando el poder adquisitivo de nuestros representados/as", destacaron.
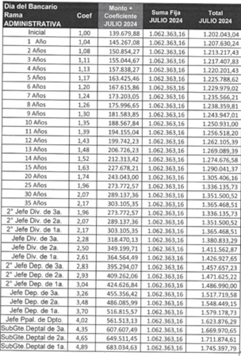
Con el nuevo aumento, el salario inicial del sector quedará por encima de los $ 1.397.000 (con la participación de Ganancias) y el bono por el Día del Bancario será superior a los $ 1 202.000.

Paritarias bancarios: con aumento, cómo quedan las escalas de julio 2024

Bono por el Día del Bancario




